Chemsynth India

Chemical Raw Materials Exporter in Russia

Established in 2008, Chemsynth India was founded with the vision of fulfilling global requirements for sourcing high-quality chemical raw materials from India. It is a family-owned business led by technically qualified promoters and a dedicated support team. The promoter, Mr. B. S. Dalal, brings over 25 years of industry experience, having successfully established and managed multi-product, multi-location manufacturing facilities for organic intermediates and specialty chemicals. The company has consistently served the needs of multinational corporations as well as small and medium enterprises worldwide.

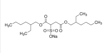
Chemsynth India is a leading Nonionic Surfactants Exporter in Russia, offering high-quality chemical solutions for diverse industries. As a leading Chemical Raw Materials Exporter in Russia, we specialize in Mild surfactants, Ethoxylates, and Surfactant Raw Materials widely used in Textile Chemicals, Textile Auxillaries, Cosmetic Ingredients, and Personal Care Chemical Raw Material. Our product portfolio includes Coco Diethanolamide (CDEA), Coco Amido Propyl Betaine (CAPB), Coco Glycoside, Sodium Lauroyl Sarcosinate, and C12-15 Alkyl Benzoate.

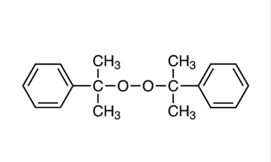
We also supply Industrial Chemicals, Organic Intermediates, Industrial Solvents, and Water Treatment Chemicals, ensuring consistent quality and global standards. Our range extends to Anionic Surfactants, Cationic Surfactants, Foam Viscosity Boosters, and Chemical Raw Materials. With expertise in Sourcing Chemicals From India, Chemsynth India ensures exports of specialty products like Phenoxyethanol, Benzyl Alcohol, and Propiconazole, meeting the growing demand across the Russia market.